您的位置: 首页 - 学生工作 - 奖励资助 - 正文

奖励资助

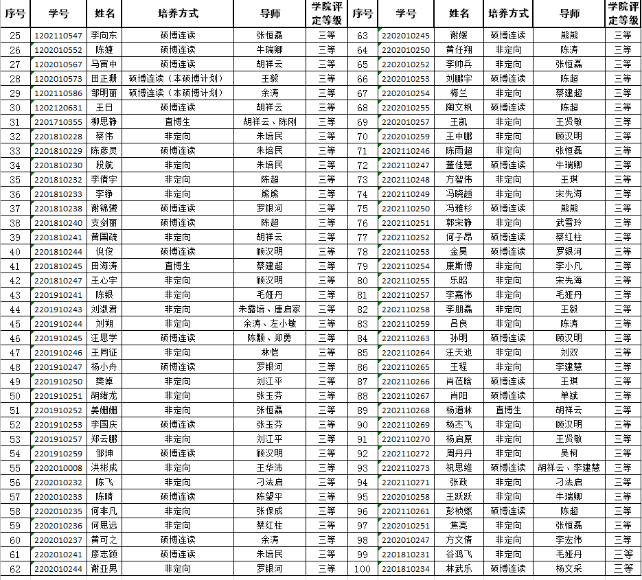
地空学院2021-2022年度博士研究生奖助学金学院评审结果公示

发表日期:2021年10月11日点击量:发表者:地空学工组

     根据《地空学院关于2021-2022学年博士研究生奖助学金评选的通知》要求,经个人申报、班级审核工作组审核、前期材料公示及学院评审组评审,现将地空学院2021-2022年度博士研究生奖助学金推荐名单公示如下:



    本公示中的评定等级为博士奖助学金中的学校学业助学金等级,学业奖学金及国家助学金部分不分等级,根据学校发布的参评条件及资助对象要求,符合相关条件的同学均获评。


    公示期:10月11日-10月15日

 
  公示期间如对评定结果有异议,请于10月15日12:00前,相关意见以文字形式发送邮箱dkxyxg@163.com,联系人:祁阳阳 高凌峰。


williamhill英国

2021年10月11日